流量测试仪的原理和实际测试情况
北京康高特科技有限公司
张鑫宇
流量检测仪可以计算河流、小溪、沟渠、山泉等流动水源的流量,单独使用可以预估全年排量,探索季节变化对高山融雪的影响等,多用于生态、水文研究,水源开发等。配合其它水质检测和生物检测仪器可以综合评估该地区水源被污染的程度、净化能力等。多用于环境生态检测,污染物排放控制检测。
任何流量检测仪都不可能直接测出水源的流量,而是通过流速和面积与流量的关系计算出河流流量,理想状态下其关系如下:

式中v为河流平均流速,S为横截面积
由上式可以看出,只要知道了河流的流速*可以计算得到总的流量。而测量流速的方法很多,其中比较方便和便宜的是利用螺旋浆测量(机械方法),螺旋桨转动的速度*是水流流动的速度。通过速度传感器,可以将其显示在屏幕上。目前使用机械原理制成的流量仪并不太多,大多数仪器只能测量一点的流速,依次记录后手工计算出流量。因此螺旋桨测量方法一般只在单独测量流速时使用。测量结果更加*的是利用多普勒原理制成的超声波或激光流速计,传感器发出超声波或激光遇到水流反射,如果水流速度较快,则反射波的频率较高,进而测出流速。使用多普勒原理制成的仪器计算功能*比较强大了,一般支持流量测量,更有甚者用户可以选择不同的流速、流量测量方法进行加权计算,使结果更符合实际情况。
螺旋桨测速仪
多普勒超声测速仪
多普勒激光测速仪
在实际情况下计算流速和流量当然不会像*初的理想情况那么简单,还需要考虑到河道不同深度的水流速度和距岸边不同距离的深度。
水流速度的测量
测量流速时,要根据实际水流状况和风向选取合适的测量方法,在一个横断面上取多点进行测量。只有流速测量结果正确时,流量才能近似等于实际情况。如果流速偏差很大,则流量计算也没有实际意义。
先来考虑不同深度水流速度的变化情况。在无风和水流逆风流动的情况下,河道中水流的速度类似于下图的曲线。因为空气和泥沙的阻力使得水面和水底的流速度变慢,河道中部的水流速度*快。此时测量水流速度时推荐使用0.2/0.8法[1],原因是水流平均速度出现在A、B两点。如果使用0.6法[2],则*后得到的流速值偏大。
如果水流顺风流动,则河面上的流速要大于河底流速,如下图所示。此时再使用0.2/0.8法测量结果*不尽如人意了---因为风速不断变化,所以河流的表面流速也随之变化。为了使测量结果更稳定,建议使用0.6法,直接测量C点河流中部的水流速度。
*后一种较极端的情况也比较多见,沟渠中的水基本不流动,但是水面由于风力作用产生流速,如下图所示(多出现在乡镇河流、支流上)。此种情况下,各种测量水流速度的方法都不能完全代表实际流速,建议单独测量水面流速后更改深度(20cm左右),只计算顶层的流量。
上述测量方法仅为测量一点流速,实际测量时要在一个横断面上取多点进行测量。不同位置的流速变化规律也类似图1,靠近岸边流速较低,靠近中心流速较高。计算时,也可类比使用0.2/0.8法。
横截面积的估算
一般来说对于河道,越向中心深度越大,因此大致可以认为河道横截面为梯形。对于山泉则可以用长方形截面近似代替。而如果需要测量不规则的池塘或沟渠则需要取不同点的深度进行估算。

河道近似

山泉溪流近似
不规则近似
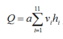
对于一般测量流量来说,简单估算横截面积并测量平均流速*能够满足精度要求了,如果对流量的计算结果要求较高,*需要考虑横断面上不同点的流速变化情况,分别进行测量。国际通行的测量流量方法是中间值法,该方法是对不规则近似的一种扩展,示意图如下所示:
中间值法首先将河道分为等距的段落,图示为W1-W11。使用流速计在每个段落的中心位置测量流速,流速测量方法根据上面的建议选择。依次测量完11个段落进行计算。表示为公式如下所示:
在实际情况中,中间值法一般用于山泉溪流的流量测量,因为这些水源深度较浅,宽度适中,流速较大,可以获得很准确的测量数据。
测量河道流速时,如果河流深度较浅,底部没有淤泥,测量人员可以达到河道中央时,也可以使用中间值法进行测量,计算流量。但是如果河道较深较宽,底部有淤泥或没有桥梁时,使用中间值法测量非常麻烦,不但需要测量大量流速数据,有时甚至需要借助小船才能到达河道中央,又因为船体不断运动,流速测量值也不准确。此时只能使用上述方法进行估算。
流量的测量一直是一个比较困难的课题,因为其测量方法比较单一,只能通过流速计算,是一个间接值,而流速又受各种环境和测量方法的影响。面对复杂情况,往往没有条件使用中间值法*测量,此时*要对测量结果进行近似处理。近似的方法有多种多样,上述方法只是其中之一。随着测量经验的不断增加,和对大量数据的归纳总结,久而久之*能够形成一套应对不同情况的近似计算方法。
名词解释
[1]0.2/0.8法:该方法为测量距水面20%处流速,再测量距水面80%处流速,*后进行加权计算,得到平均流速。
[2]0.6法:该方法为测量距水面60%处流速。
